Новости компании "Consulting in Logistics"
Логистический аудит
Логистический аудит

Логистический аудит (shipments from China to Russia).

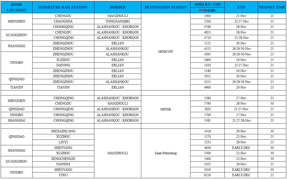
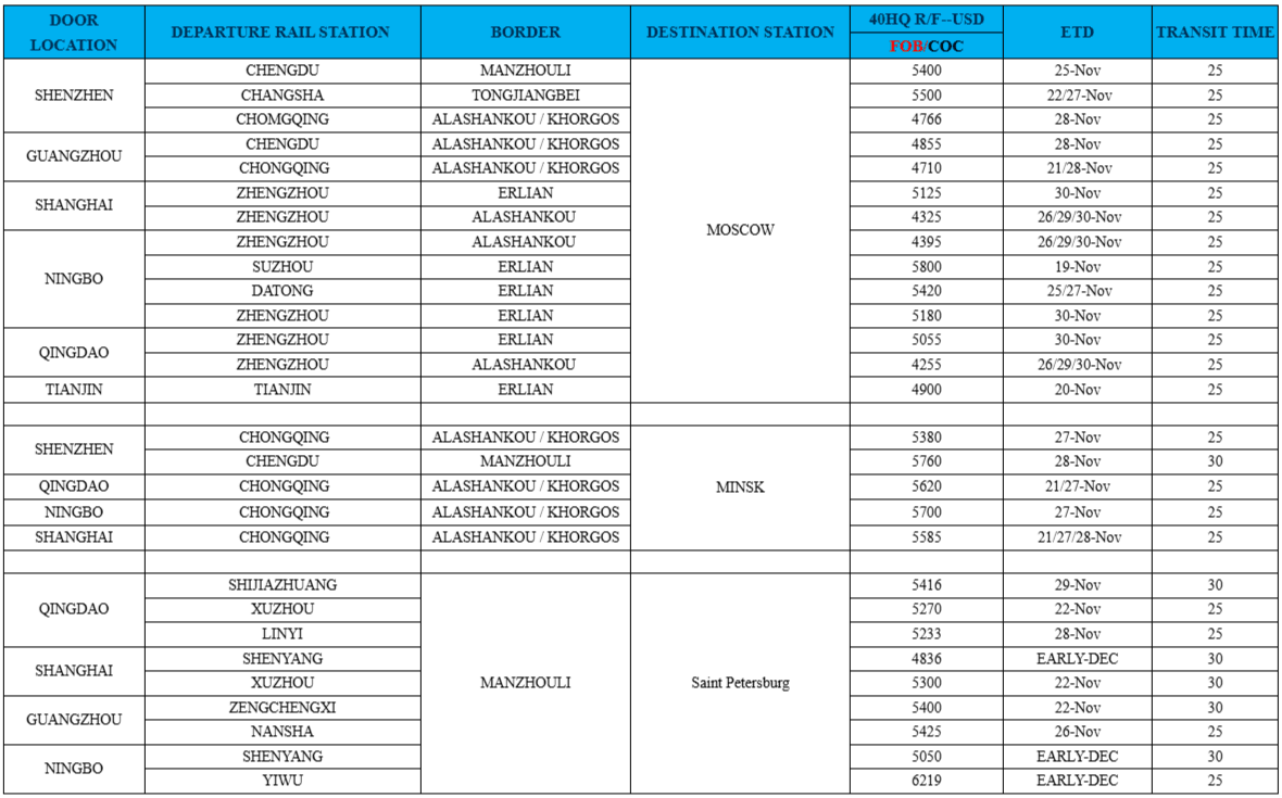
Логистический аудит тарифов:Railway Transport(Both FCL+LCL),SEA,ARI,Auto Trucking Land Service from CHINA to Russia and Belarus.

В рамках услуги "Логистический аудит тарифов на доставку из Китая в Россию" мы проводим комплексный анализ, который включает:

  1. Аудит текущих расходов: Проверим все ваши счета от логистических провайдеров за выбранный период на предмет ошибок и скрытых наценок.
  2. Бенчмаркинг тарифов: Сравним ваши текущие ставки с рыночными по всем видам транспорта (море, ж/д, авто) на аналогичных маршрутах.
  3. Анализ маршрутов и условий: Оценим оптимальность выбранных схем доставки (порты отправления/назначения, тип контейнера, условия Инкотермс).
  4. Итоговый отчет: Предоставим детализированный отчет с выявленными резервами для экономии и конкретными рекомендациями по снижению затрат на 10-25%.

НУЖНЫ МОИ УСЛУГИ? - ВСЕГДА НА СВЯЗИ:
  1. Телефон +79168759288 (10.00-19.00) мск
  2. WhatsApp +79168759288
  3. ТГ канал https://t.me/KOYakovlev
  4. E-mail yakovlev2662@yandex.ru
  5. Сайт https://consult-log.ru